
时间:2026-01-15浏览次数:320
胰腺癌是消化道常见恶性肿瘤之一,在肿瘤领域有“癌症之王”的称号。据柳叶刀杂志记载,胰腺癌确诊后的五年生存率约为10%,是预后最差的恶性肿瘤之一。胰腺癌临床症状隐匿且不典型,是诊断和治疗都很困难的消化道恶性肿瘤。因此适用于研究胰腺癌生理特性和治疗方案的类器官模型,作为一种疾病模型和再生医学,在胰腺领域至关重要,也被越来越多的科研工作者所关注并使用。
目前, 类器官培养技术在很多器官(如胃、肠、肝、胆、脑等)中都取得了较好的进展。胰腺是人体内唯一的一个既是外分泌腺又是内分泌腺的特殊脏器。因此, 胰腺类器官技术的发展面临很大的挑战。
胰腺分为外分泌部和内分泌部两部分,外分泌腺由腺泡和腺管(导管)组成,内分泌腺由胰岛组成,外分泌腺是胰腺炎和胰腺导管腺癌(PDAC)的起源部位。我们对人类胰腺疾病(包括PDAC)的起源和进展的了解有限,因为虽然胰腺导管类器官和胰岛类器官技术日趋优化,但是体外培养中维持人腺泡和导管细胞存在挑战,如何构建复合型胰腺类器官仍是当前研究的难点。
胰腺类器官可以由健康的胰腺或胰腺肿瘤产生,并构成体外和体内模型之间的重要翻译桥梁。文章报道了人类多能干细胞对胰腺导管和腺泡类器官的诱导,这些类器官具有新生儿外分泌胰腺的特性。我们开发了一种可再生的导管和腺泡类器官来源,用于模拟外分泌发育和疾病,具体方案和操作如下:
培养方案:
1.细胞准备
胰腺祖细胞由研究团队从Hues-8 细胞中提取,收集S1+4 d诱导阶段的PP2细胞团,并用TrypLE解离成单细胞。将消化的细胞以1500 rpm离心5分钟,然后用含有5%基质胶的分化培养基重悬,最终细胞密度为50000/mL。将细胞悬液接种在预涂有100%基质胶的培养板中,每四天更换一次培养基,并补充5%基质胶。
2. 胰腺导管诱导
对于导管细胞诱导,分化(碱性)培养基培养基中含有DMEM,1% Pen-Strep,1% B-27,10 ng/mL FGF-1,50 μg/mL抗坏血酸,1 μM A 83-01,10 ng/mL FGF-10,1 ng/mL EGF。
I 期(第0-4天)导管培养基含有碱性培养基,并添加10 μM Y-27632、50 nM SB939、3 μM IWP-2、25 nM IQ-1、50 nM iCRT14、15 ng FGF-10、10 ng/mL FGF-2、5 ng/mL EGF。
Ⅱ期(第4-8天)导管培养基含有碱性培养基,并添加3 μM IWP-2、25 nM IQ-1、50 nM iCRT14、5 μM Y-27632。
III期(第8-12天)导管培养基含有碱性培养基,并添加3 μM IWP-2、25 nM IQ-1、50 nM iCRT14,0.1 μM XAV-939。
IV期(第12天)导管培养基含有碱性培养基,并添加3 μM IWP-2、5 nM IQ-1、10 nM iCRT14。

A. 导管样和腺泡样类器官诱导方案示意图 B. 16天培养期间类器官的相位对比图像(n = 3,独立培养),比例尺,50毫米

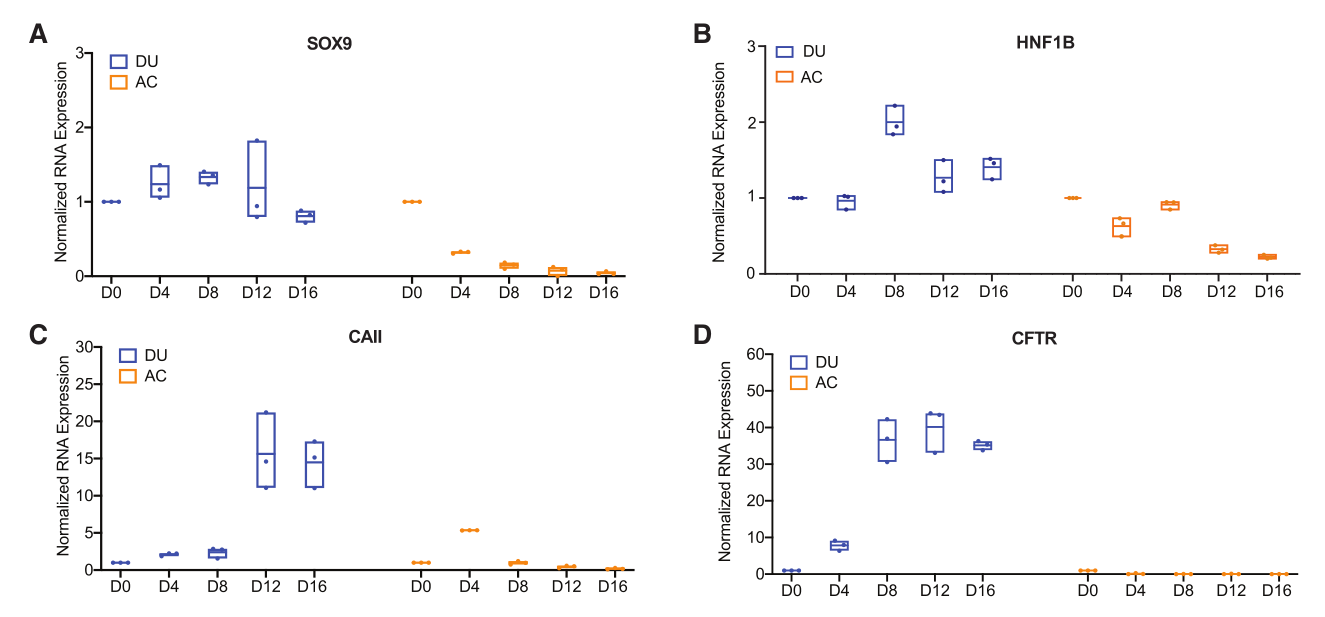
DUs和ac培养16天胰导管标志物SOX9 (A)、HNF1B (B)、CAII (C)、CFTR (D)的RNA表达。

免疫荧光检测sox9 (E)和CAII(F)无机物的表达
对于腺泡诱导,碱性培养基含有DMEM,1% Pen-Strep,1% B-27,10 ng/mL FGF-1,50 μg/mL抗坏血酸,1 μM A 83-01,10 ng/mL WNT1。
I 期腺泡(第 0-4 天)培养基含有碱性培养基,并添加10 μM Y-27632、3 μM SKL 2001、50 nM 地塞米松、0.3 μM CHIR-99021、50 nM XMU-MP-1、15 ng/mL WNT1、5 ng/mL FGF-2、1 ng/mL EGF、5 ng/mL FGF-10。
Ⅱ期(第4-8天)腺泡培养基含有碱性培养基,并添加3 μM SKL 2001、200 nM地塞米松、0.1μM LDN193189、50 nM XMU-MP-1。
III期(第8-12天)腺泡培养基含有碱性培养基,并添加3 μM SKL 2001、200 nM地塞米松、0.1 μM LDN193189、1 μM DBZ。
IV期(第12天)腺泡培养基含有碱性培养基,并添加0 .3 μM SKL 2001、25 nM地塞米松、0.1 μM DBZ。
对于TGF-β处理的实验,从第83天开始从培养基中去除A 83-01。

DUs和ac培养16天胰腺腺泡标记物PTF1A (G)、RBPJL (H)和CPA1 (I)的RNA表达


免疫荧光检测类器官中PTF1A (J)和CPA1 (K)的表达
参考文献
[1] Huang L, et al. Commitment and oncogene-induced plasticity of human stem cell-derived pancreatic acinar and ductal organoids. Cell Stem Cell. 2021 Jun 3;28(6):1090-1104.e6. doi: 10.1016/j.stem.2021.03.022. Epub 2021 Apr 28. PMID: 33915081; PMCID: PMC8202734.
